Hi,
How to determine proper antenna spacing
As a general rule Southwest Antennas recommends customers place omni-directional antennas a minimum of one wavelength apart from one another, while three wavelengths apart or greater is preferred.
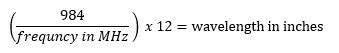
Simple Wavelength Calculation
You can use the following simple equation to calculate the wavelength size at your operating frequency of choice:

Wavelength Online Calculator
https://www.southwestantennas.com/calculator/antenna-wavelength
Additional Considerations for Directional Antennas
For directional sector antennas, spacing the antennas at least a single wavelength or more apart (three or more is preferred) is also recommended by Southwest Antennas. However, due to the wide angle of the horizontal (azimuth) beamwidth and narrow angle of the elevation beamwidth of these antennas in comparison to their omni-directional counterparts, a few additional suggestions are warranted:
- Due to the narrow elevation beamwidth, these antennas can be stacked vertically to avoid coupling issues entirely.
- Sector antennas tend to be larger than omni-directional antennas. Due to the extra size of the radome, the antenna elements within the radome may be spaced appropriately to provide great than one wavelength of separation, even if the antennas are installed directly next to each other. The manufacturer of the antennas should be able to give you more information on the general location of elements within the antenna, and if additional spacing is necessary to prevent coupling.
- If the antennas are not required to be pointing the same direction, they can be rotated to minimize the signals propagating from each antenna from interfering with the other antennas in the array.
Reference: https://www.southwestantennas.com/articles/application-example/antenna-spacing-considerations-multi-...